首页
医院概况
医院简介
组织架构
医院领导
医院文化
号码查询
院务公开
信息公开
资讯中心
本院动态
医院视频
通知/公告
就医指南
预约挂号
专家门诊
特需门诊
门诊导览
医保服务
出入院流程
科研教学
科教动态
博士后工作站
住培专栏
实习进修指南
研究生导师专栏
名医名科
名医风采
重点学科
党建工作
护理天地
护理动态
教育培训
天使风采
药物临床试验
中心简介
专业介绍
办事指南
通知公告
法规文件
下载专区
招募广告
药物临床试验伦理委员会
前沿技术
智慧医院
改善服务
当前位置:
首页
>
改善服务
>
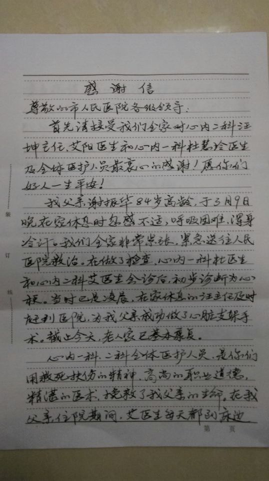
患者家属来信感谢心内二病区、心内一病区全体医护人员
患者家属来信感谢心内二病区、心内一病区全体医护人员
发布时间:2017-03-23 来源: 浏览量:
分享至:
上一篇:一名患者送来锦旗,感谢放射科李坤峰医生
下一篇:患者送来锦旗,感谢心内二病区李必龙医生及全体医护人员
返回列表页
关闭窗口
打印本页
友情链接
中华人民共和国国家卫生健康委员会
|
安徽省卫生健康委员会
|
中国医师协会
|
安徽省疾病预防控制中心
|
铜陵市政府信息公开网
|
铜陵市卫生健康委员会
|
中科大附一院安徽省立医院
|